Descrição do produto
SZB-9 Tipo de área de superfície específica automática de medição de instalações de acordo com os requisitos do novo CBT8074-2008 padrão, a empresa e o Instituto Nacional de Pesquisa de Materiais de Construção de Cimento e o New Materials Institute of Equipment and Equipment Quality Supervision, Inspeção e Testing CENTRO desenvolveu um novo instrumento de medição de superfície de cimento SZB-9. A máquina é controlada por um microcomputador de chip única e é operada com teclas de toque completas para controlar automaticamente todo o processo de medição. Memorize automaticamente o valor do coeficiente do instrumento, exibe diretamente o valor específico da área de superfície após a medição e memoriza automaticamente o valor da área de superfície específica medida enquanto registra o tempo da experiência.
Parâmetros técnicos:
1. Tensão da fonte de alimentação: 220V ± 10%
2. Faixa de tempo: 0,1 segundos-999 segundos
3. Precisão de tempo: <0,2 segundos = "">
4. Precisão da medição: <1>
5. Faixa de temperatura: 8-34 ℃
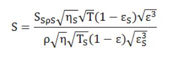
6. Valor da área de superfície específica S: 0,1-9999 cm² / g
7. Escopo de aplicação: o escopo especificado em GB / T8074-2008



